有時候出試卷或者寫方案時需要用到各種公式,word系統自帶了一部分,基本都是數學公式,但是還有很大一部分是在系統里找不到的。那么下面就由學習啦小編給大家分享下word2013輸入系統沒有的公式技巧,希望能幫助到您。
word2013輸入系統沒有的公式步驟如下:
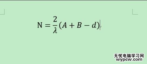
步驟一:比如下面要做的這個公式是一個聲學公式,新建一個文檔,找到插入——公式——插入新公式。


步驟二:出現了一個方框,我們先打入N=,然后點擊分數,然后選擇第一個,分數(豎式)。將鼠標放在橫線的上面,虛線方框變暗的時候直接填入數字2.完成以后用鼠標點擊下面的方框,變暗的時候插入——符號——希臘字母λ。



步驟三:后面繼續在公式框里面編輯,直接插入括號后再輸入A+B-d。輸入完成以后就可以看見公式的全部內容了。


步驟四:再比如下面這個比較復雜一點的公式。這個需要分成兩部分,一部分不在公式框內,一部分在公式框內,先打出字母f,然后選擇下標,打上數字0.

步驟五:然后再到插入——插入新公式里面插入分數,如果覺得符號找起來不方便也可以在搜狗輸入法里面找,例如π直接打讀音就可以打出來。接著打后面的,點擊根號輸入平方根符號,可以看出里面也有一個虛線方框,點擊使其變暗,然后再次點擊分數,輸入相應的字母。

步驟六:接著使用搜狗輸入法打出約等于,也可以輸入d,在彈出的更多特殊符號中找到約等于。



步驟七:最后按照之前的步驟把分數和根號分別打出來即可。打出來的公式如果經常使用,最好保存到系統里面。方法是先選中公式全部內容,然后在插入——公式最下面找到將所選內容保存為新的公式,然后輸入公式名稱。下次打開公式時,最新保存的公式在最上面就可以找到。




新聞熱點
疑難解答